Stud.IP  4.1 Revision
Admission_UserListController Class Reference
Inheritance diagram for Admission_UserListController:
Inheritance graph
Collaboration diagram for Admission_UserListController:
Collaboration graph

Public Member Functions

 before_filter (&$action, &$args)
 
 index_action ()
 
 configure_action ($userlistId='')
 
 save_action ($userlistId='')
 
 delete_action ($userlistId)
 
 delete_member_action ($userlistId, $userId)
 
 add_members_action ($userlistId)
 
- Public Member Functions inherited from StudipController
 before_filter (&$action, &$args)
 
 perform ($unconsumed_path)
 
 after_filter ($action, $args)
 
 validate_args (&$args, $types=NULL)
 
 url_for ($to='')
 
 link_for ($to='')
 
 relocate ($to)
 
 rescue ($exception)
 
 render_json ($data)
 
 relay ($to_uri)
 
 perform_relayed ($unconsumed)
 
 render_template_as_string ($template, $layout=null)
 

Protected Attributes

 $utf8decode_xhr = true
 
- Protected Attributes inherited from AuthenticatedController
 $with_session = true
 
 $allow_nobody = false
 
- Protected Attributes inherited from StudipController
 $with_session = false
 
 $allow_nobody = true
 
 $encoding = "utf-8"
 
 $utf8decode_xhr = false
 

Member Function Documentation

◆ add_members_action()

add_members_action (   $userlistId)

Landing page for mulitpersonsearch, adds the selected users to the user list.

Parameters
$userlistIdstring ID of the userlist to edit
Here is the call graph for this function:

◆ before_filter()

before_filter ( $action,
$args 
)
See also
AuthenticatedController::before_filter

Reimplemented from StudipController.

Here is the call graph for this function:

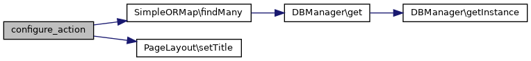
◆ configure_action()

configure_action (   $userlistId = '')

Show a configuration form for the given user list.

Parameters
String$userlistIduser list to load settings from (or empty if it is a new user list)
Here is the call graph for this function:

◆ delete_action()

delete_action (   $userlistId)

Deletes the given user list.

Parameters
String$userlistIdthe user list to delete
Here is the call graph for this function:

◆ delete_member_action()

delete_member_action (   $userlistId,
  $userId 
)

Deletes the given user from the given user list.

Parameters
$userlistId
$userId
Here is the call graph for this function:

◆ index_action()

index_action ( )

Show the user lists the current user has access to.

Here is the call graph for this function:

◆ save_action()

save_action (   $userlistId = '')

Saves the given user list to database.

Parameters
String$userlistIduser list to save
Here is the call graph for this function:

Field Documentation

◆ $utf8decode_xhr

$utf8decode_xhr = true
protected

The documentation for this class was generated from the following file: